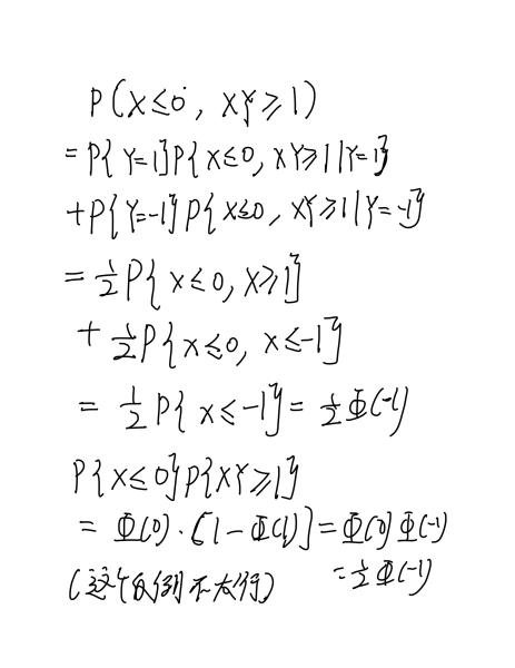
在证明不独立用计算概率时,在选取计算哪一块的概率上有什么方法吗?为什么是X≤1,Z≥1呢
网校学员z露丹**在学习《2022考研VIP协议班【政英数】(天猫专享)》时提出了此疑惑,已有1人帮助了TA。
网校助教
无灬丶暇
同学你好,该知识点来自沪江网校《2022考研VIP协议班【政英数】(天猫专享)》的课程,想要更系统的学习,欢迎进入课程学习。不仅可以和更多的同学一起学习,而且还有老师、助教随时的学习指导和知识点解答哦。
这个没有特定的取值 你只要能举出反例说明他们不独立就好了。一般都会取简单的值来
计算。
版权申明:知识和讨论来自课程:《2022考研VIP协议班【政英数】(天猫专享)》的学员和老师,如果想了解更多,可以报名参加课程学习。所有知识讨论内容,版权归作者及沪江网校所有。
以上知识点和讨论均来自沪江网校,点击了解课程详情